Pi on the sun and 22/7Image of the sun early Sept 1, 19, with the number "7" visible that also resembles the π (Pi) sign "Seven" is the main number repeatedly used in the below Pi formula — and this happened on the same day of importance as discussed in this articleRumus Luas Bola L = 4 x π x r 2 Keterangan L = luas permukaan bola; The circumference of two concentric circles forming a ring are cm and 66 cm Taking π = \(\frac{22}{7}\), the width of the ring is (a) 14 cm (b) 7 cm (c) \(\frac{7}{2}\) cm (d) 21 cm Answer Answer (c) \(\frac{7}{2}\) cm Question 19 A steel wire when bent in the form of a square encloses an area of 121 cm² If the same wire is bent in
Mayank Made A Bird Bath For His Garden In The Shap Class 10 Maths Cbse
π=22/7
π=22/7-Find the circumference of the circles with the following radius (Take π =22/7) (a) 14 cm (b) 28 mm (c) 21 cm The circumference of a circle is product of the constant π and the diameter of the circle (a) The radius is 14 cm and circumference is cm, (b) The radius is 28 mm and circumference is 176 mm, (c) The radius is 21 cm and circumference is 132 cmR = jari – jari bola;



7 Diberi A P R2 Cari Nilai A Jika P 22 Gauthmath
Dengan menghitung keliling poligonpoligon tersebut, Archimedes membuktikan bahwa 223 ⁄ 71 < π < 22 ⁄ 7 (3,1408 < π < 3,1429) Batas atas Archimedes sekitar 22 ⁄ 7 membuat banyak orang percaya bahwa π sama dengan 22 ⁄ 7 Sekitar tahun 150, Ptolemaeus dalam Almagestnya, memberikan nilai π sebesar 3,1416Archimedes membuktikan bahwa pi memiliki batas 223⁄71 < π < 22⁄7 (3,1408 < π < 3,1429) Batas atas Archimedes sekitar 22⁄7 membuat banyak orang percaya bahwa π sama dengan 22⁄7 Mulai abad ke15, algoritma baru yang didasarkan pada deret tak terhingga merevolusi perhitungan nilai π The fraction 22/7 is an approximate value of Pi, and there behind lays a specific reason why this day is observed on July 22 This day is celebrated on July 22 every year because the value of Pi is denoted by the fraction 22/7 Here, in the fraction 22/7 which denoted Pi, the numerator 22 symbolizes the date (22nd day of the month) and
b Use π ≈ \(\frac{22}{7}\) , and express your answer as a fraction in lowest terms Answer C ≈ 42 cm ∙ \(\frac{22}{7}\) C ≈ 132 cm Question 3 The figure shows a circle within a square Find the circumference of the circle Let π ≈ 314 Answer The diameter of the circle is the same as the length of the side of the square C = πdDiketahui d = 42 cm Karena d = 2 kali r maka jarijarinya, r = d/2 = 42/2 = 21 cm Jawaban Luas = π x r x r Luas When aero plane left town P (65º N,15º E) to another town Q (65º N,165º W) at a speed of 0 knots using the shortest route Take π = 22/7 and radius of the earth R= 6370 km
π = 22/7 atau 3,14;If the total height of the toy is 155 cm, find the total surface area of the toy(use π =22/7) Solution Question 6 In figure, a tent is in the shape of a cylinder surmounted by a conical top of same diameter If the height and diameter of cylindrical part are 21 m and 3 m respectively and the slant height of conical part is 28 m, find the (Use π = 22/7) Sol Clearly, minute hand of a clock describes a circle of radius equal to its length ie, 14 cm Since the minute hand rotates through 6º in one minute Therefore, area swept by the minute hand in one minute is the area of a sector of angle 6º in a circle of radius 14 cm Hence, required area A is given by



What Is The Best Fractional Representation Of Pi Wired



Proof For P 22 7 Real Value Of P Is Lies Between 3 14 P 22 7
Given, radius r = 21cm and π = 22/7 Then, Area of the circle = πr² sq units = 22/7 × 21 × 21 = 22 × 3 × 21 = 1386cm² Answer♡ ━━━━━━━━━━━━━━━━━━━━━━━━━━ ItsHappyQueen03~ A = π ∙ (7 cm) 2 = 49π cm 2 b Find the approximate area using \(\frac{22}{7}\) to approximate π Answer A = 49 ∙ π cm 2 ≈ (49 ∙ \(\frac{22}{7}\) ) cm 2 ≈ 154 cm 2 c What is the circumference of the circle?By inscribing and circumscribing regular polygons about a circle to obtain upper and lower bounds, he obtained 223/71 < π < 22/7, or an average value of about Archimedes also proved that the ratio of the area of a circle to the square of its radius is the same constant



Circumference Review Review What Is The Relationship Between A Radius And A Diameter What Does A Circumference Measure What Formulas Do We Use To Calculate Ppt Download



What Is The Best Fractional Representation Of Pi Wired
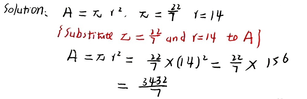
If π is taken as \\frac{22}{7}\ the distance (in metres) covered by a wheel of diameter 35 cm, in one revolution, is Options 22 11 9625 9625 Advertisement Remove all ads Solution Show Solution The disstance covered by the wheel in one revolution is equal to Jawab L = 4 x π x r 2 L = 4 x 22/7 x 56 2 L = 4 x 22/7 x 56 x 56 L = cm2 Jadi, luasnya permukaan bola itu adalah = cm2 6 Ada sebuah permukaan Bola yang memiliki jarijari yaitu = 21 cm cari dan hitunglah luas permukaan bola tersebut ! Ex 31, 2 Find the degree measures corresponding to the following radian measures ("use " π" = " 22/7) (i) 11/16 We know that Radian measure = 𝜋/180 × Degree measure 11/16 = 𝜋/180 × Degree measure 11/16 × 180/𝜋 = Degree measure Degree measure = 11/16 × 180/𝜋 Degree measure = 11/16 × 180/22 × 7 = (11 × 180 × 7)/(16 × 22) = (1 × 90 × 7)/(8 × 2) = (1 × 45 × 7)/(4 × 2) = 315/8



P 22 7 Gauthmath



16 Usin G P 22 7 Find The Value Of Y In E Gauthmath
22 7 − π (1) Since the integrand is nonnegative on the interval 0,1, this shows that π is strictly less than 22/7, the well known approximation to π Here we shall look at some features of this integral, including error bounds and a related series expansion Then, we present a number of generalizations, including a new (take 𝜋 = 22/7) Here we have to find total length, ie, total circumference of all semicircles We know that Circumference of circle = 2πr So, Circumference of semicircle = 1/2 × 2πr = πr Circumference of 1st semi circle = π × 05 Circumference of 2nd semicircle = π × 10 Circumference of 3rd semicircle = π × 15Jawaban Volume Bola V = 4/3 x π x r 3



Python Math Calculate Surface Volume And Area Of A Cylinder W3resource



Famous Test Question Pi Is Less Than 22 Over 7 Laptrinhx
Keliling = 2πr K = 2 22/715 K = 30 x 22/7 K= 660 / 7 = 95 cm Contoh Soal 2 2 Budi memiliki sebuah velg mobil, di ketahui velg mobil tersebut mempunyai diameter 42 cm Maka tentukan berapa luas dari velg mobil tersebut ?(Assume π = 22/7) Share asked by anonymous Show More Ask a Question 1 Answer Answer 330 Like 0 The integral is equal to 22/7 – π Since the integrand is positive between 0 and 1, the integral will also be positive Hence we have 0 < 22/7 – π π < 22/7 What a beautiful proof!



Proof That 22 7 Exceeds P Wikipedia



Fermat S Library Today Is P Approximation Day 22 7 3 Archimedes Wrote The First Known Proof That 22 7 P In The 3rd Century e Here S Another T Co K5smp9cs61
When two of the hardest tests in the world cover the same problem, you know it's a big dealReferencesWikipedia articlehttps//enwikipediaorgNếu biết rằng π là xấp xỉ 3,, thì có thể dễ dàng suy ra π < 22 / 7 vì số này khoảng 3, Nhưng phải mất ít nhiều công sức để chứng minh rằng π < 22 / 7 theo phương pháp được sử dụng trong chứng minh này hơn để chứng minh rằng π là xấp xỉ= (36/6)π cm 2 = 6×22/7 cm 2 = 132/7 cm 2 2 Find the area of a quadrant of a circle whose circumference is 22 cm Solution Circumference of the circle, C = 22 cm (given) It should be noted that a quadrant of a circle is a sector which is making an angle of 90° Let the radius of the circle = r As C = 2πr = 22, R = 22/2π cm = 7/2 cm



22 7 P Proof Using Integration Teaching Resources



Lim X Pi X 22 7
22/7 is a rational number as is defined a ratio of 2 integers (nonzero denominator) Many people confuse π with 22/7 We are taught in schools that π=22/7 What they should actually teach isCircumference to Diameter Calculator C (circumference) in ft yd mi mm cm m km D (diameter) in ft yd mi mm cm m km C is a circumference of the circle D is a diameter of the circleAnswer C = 2π ∙ 7 cm = 14π cm ≈ 4396 cm Exercise 6 Joan determined that the area of the circle below is 400π cm 2



Find The Degree Measure Of The Angle Subtended At The Centre Of A Circle Of Radius 100 Cm By An Arc Of Length 22 Cm Use Pi 22 7 Mathematics Shaalaa Com



1 Find The Circumference Of The Circles With The Following Radius Take P 22 7 A 14 Cm B 28 Mm C Brainly In
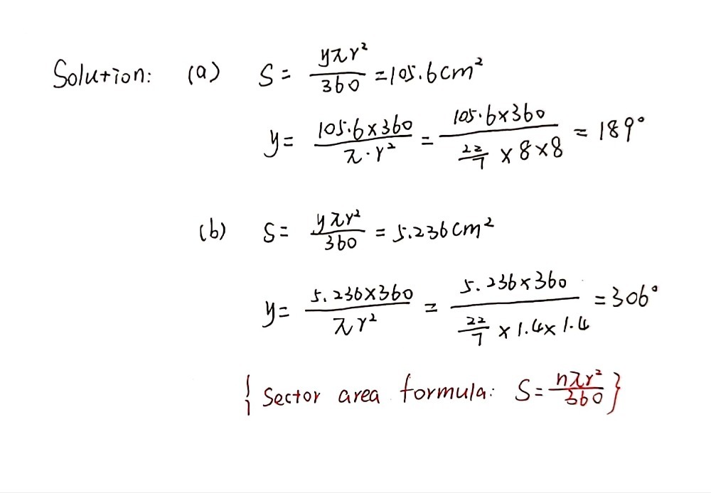
Find the length of the corresponding arc of the sector Use π = \(\frac{22}{7}\) (11OD) Solution Area of sector = 154 cm 2 Question 12 In the Figure, PQ and AB are respectively the arcs of two concentric circles of a radii 7 cm and 35 cm and centre O If ∠POQ = 30°, then find the area of the shaded region Use π = \(\frac{22}{7 (Take π = \(\frac{22}{7}\)) d = diameter = 21 m ∴ radius of the circular garden circumference of the circular garden = 2πr Length of the rope needed to make one round of fence } = 66 mts Length of the rope needed to make 2 rounds = 66 × 2 = 132 mts cost of rope per metre = Rs 4 Total cost of rope = 132 × 4 = Rs 528 Question 5π = 22/7 atau 3,14;



Why Is Pi Not Equal To Frac 22 7 Brilliant Math Science Wiki



Using 22 7 For Pi When Finding The Area Of A Circle Youtube
(π = 22/7) Solution 34 Question 35 AB and CD are two diameters of a circle perpendicular to each other and OD is the diameter of the smaller circle If OA = 7 cm, find the area of the shaded region Solution 35 Question 36 PSR, RTQ and PAQ are three semicircles of diameters 10 cm, 3 cm and 7 cm respectively Find the perimeter of the(d) π is irrational and 22 7 is rational Because the value of π is neither repeating nor terminating, it is an irrational number 22 7, on the other hand, is of the form p q, so it is a rational numberContoh Soal Volume Bola Doni di beri sebuah bola oleh ayah nya yang memiliki jari – jari sebesar 30cm, maka carilah volume bola dan luas permukaan bola?



Question 17 Cbse Class 10 Sample Paper For Boards Maths Basic



Questions And Solutions For Ncert Class 7th Mathematics Chapter 11 Perimeter And Area Exercise 11 3 Teacher4u
r = radius , d = diameter A = r² π or A = d² π / 4 so A = 22 / 7 r² π or A = 22 / 7 d² π / 4 A = 22 / 28 d² 👍 Product of a rational and an irrational number is an irrational number As per the properties of irrational numbers, the sum or difference of a rational and an irrational number is an irrational number ∴ π – 22 ⁄ 7 = An irrational number 定積分でπを表す式はたくさん知られている。それを元に、πの近似値を求めることや、面白い式を導くことが出来る。これについて紹介する。 よく知られている定積分 一番よく知られているのは、次のものだろう。 これは、 であることから明らかであるが、逆三角関数を習っていない高



If You Are Brainlist Then Prove That P 22 7 Brainly In



1
(Assume π = 22/7) Play How much distance (in cm) will the bicycle shown below travel, if the pedal makes 15 revolutions?Circumference Of A Circle Using 22/7 For Pi Watch this tutorial and learn or review how to find the circumference of a circle using 22/7 for pi The given radius is a mixed number (Take π =\(\frac{22}{7}\)) Solution Given Circumference = 154 m ∴ 2πr = 154 Ex 113 Class 7 Maths Question 4 A gardener wants to fence a circular garden of diameter 21 m Find the length of the rope he needs to purchase, if he makes 2 rounds offence Also find the cost of the rope, if it costs ₹ 4 per metre (Take π =\(\frac{22}{7



Fermat S Library على تويتر P Is Also Known As Archimedes Constant Archimedes Was The First Mathematician To Establish A Theoretical Calculation For P Around 250 e He Did This By Inscribing And



Proof That 22 7 Exceeds P Wikipedia
References Wikipedia article https//enwikipediaorg/wiki/Proof_that_22/7_exceeds_%CF%80 Putnam exam 1968 A1 https//prasecz/kalva/putnam/putn68html



What Is Pi Pi Is A Special Number In Mathematics That Is Approximately 3 14 Or 22 7



Joinzerosum Onlineprostuti Wbcs Zero Sum Online Academy Facebook



Find The Surface Area Of A Sphere If Its Volume Is 308 Cubic Cm P 22 7 Sarthaks Econnect Largest Online Education Community



Maths Ed Twitter પર 22 July 22 7 Happy Upper Bound Of Archimedes Piapproximationday Circumscribing And Inscribing A Circle With A 96 Sided Polygon Archimedes Found P Lies Between 223 71 And 22 7 As Beautifully



Proof That 22 7 Exceeds P Wikipedia



If The Circumference Of A Circular Sheet Is 154 M Find Its Radius Also Find The Area Of The Sheet Take P 22 7 Cbse Class 7 Maths Learn Cbse Forum



Holy Family Church Chakala Youth Cheers To The Worldwide Celebration Of This Mathematical Constant Some Fun Facts About Pi People Celebrate This Day Eating Pies The First Calculation Of P Was



0oib4pdxngaw1m



Pi Is Not Equal To 22 7 Proof Youtube



Ppt Pi Day 3 14 Powerpoint Presentation Free Download Id 5643



Legendary Test Question P Is Less Than 22 7 Youtube



Cone And Sphere



Q Tbn And9gcsk1la5vtu4atk3hofro9 Dtbzv8hdn9jj Fame K6phskmp2mg Usqp Cau



Famous Test Question Pi Is Less Than 22 Over 7 Mind Your Decisions



Circumference Of A Circle Using 22 7 For Pi Youtube



Find The Area Of The Segment Of A Circle Of Radius 14 Cm If The Length Of The Corresponding Arc Apb Is 22 Cm Use P 22 7 From Mathematics Areas Related



Solved The Rational Number Frac 22 7 Has Been Used As An Approximation To The Number Pi Since The Time Of Archimede



If The Circumference Of A Circle Is 264cm Find Its Radius Take P 22 7 Brainly In



First Digits Of P 22 7 Programmium



John Carlos Baez Pi 3 While 22 7 3 So 22 7 Is Bigger But Here S A Cute Proof That 22 7 Is Bigger The Integral That Gives 22 7 Pi



Is 22 7 A Rational Number Or Irrational Number Quora



In Fig Find The Area Of The Shaded Region Use P 22 7 Sarthaks Econnect Largest Online Education Community



Find The Degree Measures Corresponding To The Following Radian Measures Use Pi 22 7 Mathematics Shaalaa Com






A Horse Tied To A Pole With 28m Long Rope Find The Perimeter Of Field



Why Pi Is 22 7 Youtube



Prezentaciya Na Temu R D O P S D P 3 P 3 14 P 22 7 әjlәnә Ozynlygyn Isәplәү Formulalary S P D C 2 P R



Questions And Solutions For Ncert Class 7th Mathematics Chapter 11 Perimeter And Area Exercise 11 3 Teacher4u



How Is 22 7 Greater Than Pi Quora



Multiplying Decimals And Circumference Of A Circle Ppt Download



Find The Area Of The Major Segment A P B In The Given Figure Of A Circle Of Radius 35 Mathrm Cm And Angle A O B 90 0 Use Pi 22 7 Mathbf N



Proof That 22 7 Exceeds P Wikipedia



Approximate Pi Day



If The Circumference Of A Circular Sheet Is 154 M Find Its Radius Also Find The Area Of The Sheet Take 960 22 7 Mensuration Maths Class 8



Guna P 22 7 Dan Beri Jawapan Betul Kepada Du Gauthmath



In A Circle Of Diameter 42 Cm If An Arc Subtends An Angle Of 60 At



Find The Degree Measure Corresponding To Following Radiant Measure Use Pi 22 7 9pi5



A What Is The Area Of The Circle Use P 22 7 Gauthmath



Finding The Area Of Circles Using 22 7 Youtube



Pie 22 7 Where Does It Come From Value Of Pie Youtube



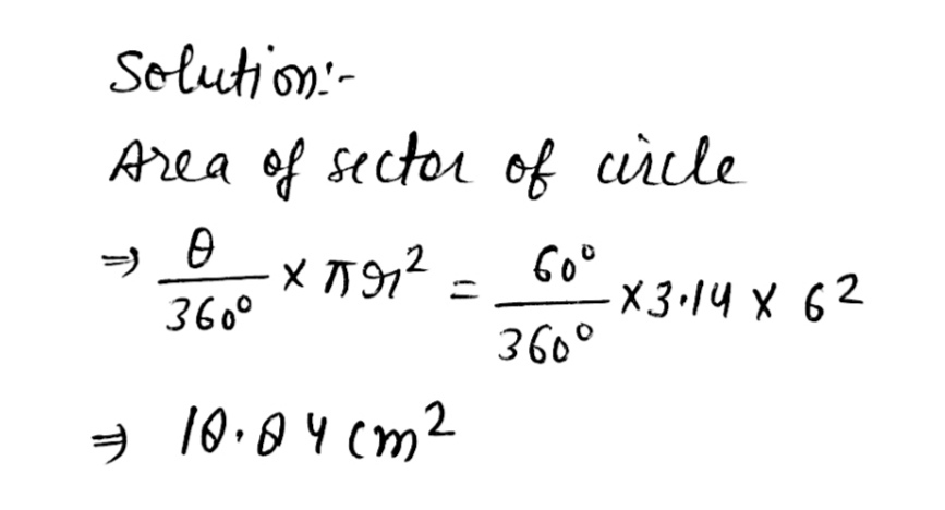
A Sector Of A Circle Of Radius 40cm Subtends An Angle Of 26º At The Centre Of The Circle Take Pi 22 7



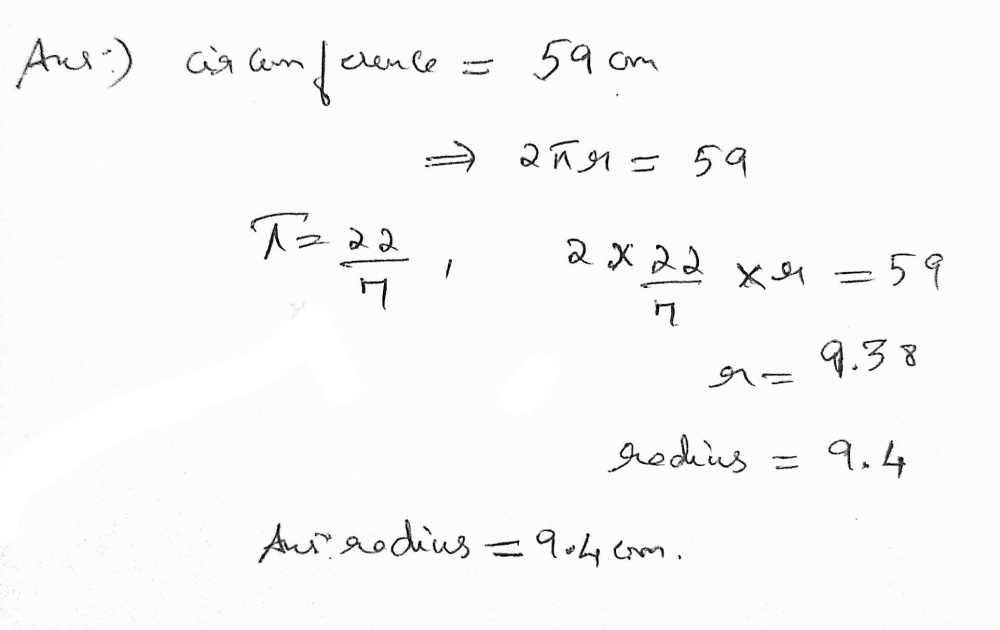
Lilitan 59 Cm P 22 7 Gauthmath



If The Difference Between The Circumference And The Radius Of A Circle Of A Circle Is 37 Cm Then Using P 22 7 Sarthaks Econnect Largest Online Education Community



Srinivasa Raghava Z 1 2 I Sₙ 0 Today 22 7 22nd July Of Every Year Is Observed As P Approximation Day In View Of 22 7 Is The Approximate Value Of P



How Many Times A Wheel Of Radius 28 Cm Must Rotate To Go 352 M Take P 22 7 Cbse Class 7 Maths Learn Cbse Forum



Calculate The Area Of The Sector P 22 7 B Gauthmath



I Find The Area Of A Circle Of Radius 21 Cm Take Pi 22 7 Ii Find The Area Of A Circle Of Radius 10 Cm Take Pi 3 14



A Circle Whose Diameter Is 14 Cm Take P 22 7 Find The Area Brainly In



Neil Tilston 22 7 Is A Better Estimate For Pi Of Course And Date Makes More Sense In That Order This Side Of The Ocean 1 2



Find The Degree Measures Corresponding To The Following Radian Measures Use Pi 22 7 Mathematics Shaalaa Com



22 7 Greater Than Pi Youtube



Find The Area Of A Circle With Radius 5cm P 22 7 Brainly In



Pi P 22 7 On The Sun And Dorian 1260d Com



P 22 7 3 14 3 March Month 14 Day Date Mat English कव



Motion Science Chapter 8 Ncert Class 9 Science Solution



Find The Area Of The Shaded Region Pi 22 7 Sqrt 3 1 73



Proof That 22 7 Exceeds P Wikipedia



Presentation Slides Circle



7 Diberi A P R2 Cari Nilai A Jika P 22 Gauthmath



K C S E Mathematics Q A Model 16pp2qn21 Atika School



A Cylindrical Container Of Diameter 8 Cm Has A Height Of 35 Cm What Is The Volume Of The Container In Cubic Centimetres Take P 22 7 Atika School



Find The Volume Of A Cone If Its Total Surface Area Is 7128 Sq Cm And Radius Of Base Is 28 Cm P 22 7 Target Batch



Q Tbn And9gcs9uics8f26f10svregrqqackkgz6s0whu Npvqyhzaxqi6qrpm Usqp Cau



P 22 7 Really Is It True Http Nobleforumindia Com Admission Html Noble Forum India



Pi Day Presentation 1



Find The Area Of The Shaded Region Use Pi 22 7 Q Find The Area Of The Shaded Region Maths Areas Related To Circles Meritnation Com



Mayank Made A Bird Bath For His Garden In The Shap Class 10 Maths Cbse



It S Pi Approximation Day Maths Pathway



1



Proof That 22 7 Exceeds P Wikipedia



画像 227 ただの悪魔の画像



What Is Pi 22 7 Akshara Your True Exam Partner



Pi Approximation Day July 22 22 National Today



Why Do We Use 22 7 For Pi Quora



If The Difference Between The Circumference And Radius Of A Circle Is 37 Cm Then Using Pi 22 7 The Circumference In Cm Of The Circle Is A 154 B 44 C 14 D 7



Prove Using Integration P Is Not 22 7 Zhy



Why Pi 22 7 Youtube



How To Explain Why The Value Of Pi Is 22 7 To The Child Who Has Come To Know About Pi For The First Time In Maths Quora



Unless Stated Otherwise Use P 22 7 1 Fin Gauthmath



Find The Area Of The Following Circles Given That Take P 22 7 Cbse Class 7 Maths Learn Cbse Forum



The Circumference Of A Cirlce Is 22 Cm Find Its Area Take Pi 22 7



Zuuind1i78avwm


0 件のコメント:
コメントを投稿